GCSE Sample Test
Paper 3
How would you like to complete the test?
Check question by question
Check the test at the end
marks

Here are seven numbers

11 6 12 7 8 4 8

(a)

What is the range of the seven numbers.

5
6
7
8
9
[1 mark] ?
Max number – min number = 12 – 4 = 8
(b)

What is the mode of the seven numbers.

5
6
7
8
9
[1 mark] ?
8, as it is repeated twice and all other numbers are not repeated
marks

Which shape has exactly one line of symmetry and its diagonals intersecting at 90°

A
B
C
D
[1 mark] ?
This has a vertical line of symmetry whereas B has none and C and D both have two lines of symmetry.
marks

Which of these is a cube number?

3
9
27
81
[1 mark] ?
As 27 = 3 × 3 × 3 it is a cube number
marks

Liz buys a car for £6500.

She pays a deposit of £1300
She pays the rest in 26 equal monthly payments.

Work out the amount of each monthly payment.

£ [3 marks] ?
Amount to pay back = £6500 − £1300 = £5200. Monthly payment = £5200 ÷ 26 = £200
marks

120 men and 80 women were asked if they drive to work.

Altogether of the people said yes.
of the men said yes.

What fraction of the women said yes?

[4 marks] ?
No. of people saying yes = (120 + 80) = 100 and no. of men saying yes = × 120 = 30. Hence there are 100 – 30 = 70 women who said yes and this fraction = =
marks

Boxes A, B, C and D contain balls with numbers on them.

A ball is picked at random from each box.

(a)

Which box gives the greatest chance of picking a 2 ?

[2 marks] ?
A: p = = ≈ 0.33; B: p = ≈ 0.33; C: p = = 0.4 ; D: p = = 0.25 ; so C has the greatest probability
(b)

Which two boxes give the same chance of picking a 2 ?

and [1 mark] ?
Both A and B have probability
marks

Zayn records his weekly sales.

Every week his costs are £75.50

(a)

What is his profit in Week 1.

£ [2 marks] ?
£260 – £75.50 = £164.50
(b)

His sales in Week 4 were half of his sales in Week 1.
Zayn says,

“This means that my profit in Week 4 was half of my profit in Week 1.”

(i)
Profit in Week 4? £
(ii)
Is he correct?
[2 marks] ?
£120 – £75.50 = £44.50
marks

What is the value of 3𝑥 − 5𝑦 when 𝑥 = 3 and 𝑦 = −2 ?

[2 marks] ?
3 × 3 – 5 × (–2) = 9 – 10
marks

The points (−2, −1) and (2, 3) are the diagonally opposite corners of a square.

What are the coordinates of the other two corners of the square.

(, ) and (, ) [2 marks] ?
marks

In an experiment, different masses are hung on a spring.
The length of the spring is measured for each mass.

Mass (g)10203040
Length (cm)20.821.622.423.2
(a)

Draw a graph to show the length of the spring for masses from 10 g to 40 g and
estimate the length of the spring with no mass hung from it.

cm [2 marks] ?
Read from graph or difference between each length is 0.8 so for mass 10 g, the extension is 20.8 – 0.8 = 20.0 cm
(b)

From your graph, estimate how much longer is the spring with a mass of 35 g than
with a 15 g mass.

cm longer [3 marks] ?
For 35 g, the extension is 22.8 cm and for 15 g it is 21.2 cm; hence the difference is 22.8 – 21.2 = 1.6 cm
marks

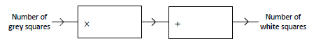
A sequence of patterns uses grey squares and white squares.
Here are the first four patterns.

(a)

What is the total number of squares in pattern 100.

[2 marks] ?
4 + 4 × 100 = 404
(b)

Complete this number machine for the sequence of patterns.

[2 marks] ?
2 × (no. of grey squares) + 4 = total no. of squares
marks

In Scotland, squirrels are red or grey in the ratio red : grey = 1 : 2

(a)

What fraction of the squirrels in Scotland are red?

[2 marks] ?
The ratio 1 : 2 ⇒ 1 : 7 ⇒ 3 : 7 so the fraction of Red Squirrels = =
(b)

In Scotland, there are estimated to be 150 000 red squirrels.
Estimate how many squirrels there are altogether in Scotland.

[2 marks] ?
is 150 000 so is 50 000 and the total is 10 × 50 000 = 500 000
marks

Hayley and Tom have £2000 to spend on food at their wedding.
Here are their two options.

Wonderful Weddings!

Normal price£30 per person

Special offer:

10% off normal price

 

Kim the Caterer

Number of peoplePrice per person
100 & over£22.00
80 to 99£25.00
60 to 79£28.00
Up to 59£30.00

What is the maximum number of people they can pay for.

(i)
Number = [3 marks] ?
10% discount is £3, so the price is £27 and 2000 ÷ 27 = 74.074... .
With “wonderful weddings”, number of people = 74.
For “Kim”, 2000 ÷ 25 = 80 so number of people = 80 and this is the maximum
(Note that with Kim’s pricing the price for 72 up to 79 would cost more than £2000)
(ii)
Option [1 mark]
marks

Solve 3(𝑥 + 6) = 14

x = [3 marks] ?
𝑥 + 6 = so 𝑥 = − 6 = = −
marks

The mass of 40 cm3 of copper is 356 grams.
Work out the mass of 70cm3 of copper.

grams [2 marks] ?
If 40 cm3 has mass 356 grams, then 1 cm3 has mass 356 ÷ 40 and 70 cm3 has mass 70 × (356 ÷ 40) = 623 grams
marks

24 boys, 45 girls and 281 adults are the members of a badminton club.
50 more children join the club.
The number of boys is now 12% of the total number of members.
How many of the 50 children were boys?

[4 marks] ?
Total number of members with the extra 50 children is 24 + 45 + 281 + 50 = 400.
Total number of boys = 12% of 400 = × 400 = 48. As there were already 24 boys, there were an extra 24 boys out of the 50 new children.
marks

The table shows information about the marks of 31 students in a test
with 20 marks available.

MarkFrequency
200
191
181
173
162
157
148
135
123
110
101
Less than 100

Students who scored less than the median mark have to retake the test.
How many students have to retake the test?

[3 marks] ?
For 31 students, the median value is the 16th and from the table this student must have mark 14.
The number of students with a mark of less than 15 is 5 + 3 + 0 + 1 + 0 = 9
marks

Work out the square root of 10 000 million.

1000
10 000
100 000
1 000 000
[1 mark] ?
100 000 × 100 000 = 10 000 000 000 and this is 10 000 million, So = 100 000
marks

a = and b =

Circle the vector ab

[2 marks] ?
= = =
marks

Circle the decimal that is closest in value to

0.3
0.33
0.34
0.334
[1 mark] ?
marks

When x2 = 25 the only value that x can be is 5
Is this true or false?

[1 mark] ?
𝑥 = 5 and 𝑥 = −5 are solutions as 5 × 5 = 25 and (–5) × (–5) = 25
marks

In 1999 the minimum wage for adults was £3.60 per hour.
In 2016 it was £7.50 per hour.
Work out the percentage increase in the minimum wage from 1999 to 2016.
Give your answer
to 2 significant figures.

% [3 marks] ?
Percentage increase = × 100% = × 100 = 108.3% and to 2 significant figures, this is 110%
marks

The line AB, 4 cm long, is shown below.

Which option shows the locus of a point
that is always 1 cm away from the line AB?

[2 marks] ?
The points on the locus have to be a minimum distance of 1 cm from the given line
marks
(a)

Use your calculator to work out 9.562 ÷ 4.97
Write down the answer to 8 significant figures.

[2 marks] ?
Calculator display gives 87.36844935 which to 8 significant figures is 87.368449
(b)

Write down a calculation to give an approximate value of the expression above
of the form that could be computed without a calculator.

a2 ÷ c

(i)
𝑎 =
(ii)
𝑏 =
(iii)
𝑐 =
[3 marks] ?
9.56 ≈ 10 and 8006 ≈ 8000 and 4.97 ≈ 5. You can now easily estimate the answer 100 – (20 ÷ 5) = 96 but this is not asked for.
Also note that the BODMAS convention means that you do the division first before the subtraction.
marks

Three cups, A, B and C, contain only fruit juice and water.
The different mixtures are

A juice : water = 3 : 20

B juice =

C juice = 12.25%

Which cup has the greatest proportion of juice?

[3 marks] ?
A: 3 : 20 can be written as 3 ÷ 20 = 0.15 ; B: = 0.125 : C: 12.25% means 0.1225. A is the largest decimal
marks

y is directly proportional to x.

Which graph shows this?

[1 mark] ?
D is the only graph that is a straight line and passing through the origin
marks

A bag contains counters that are red, blue, green or yellow.

redbluegreenyellow
Number of counters73xx − 32x

A counter is chosen at random.
The probability it is red is .
Work out the probability it is green.

[4 marks] ?
As the probability of obtaining RED is and there are 7 RED counters, in total there must be 100 and 7 + 3𝑥 + (𝑥 − 3) + 2𝑥 = 7 − 3 + 3𝑥 + 𝑥 + 2𝑥 = 4 + 6𝑥 = 100 giving 𝑥 = 16. So number of GREEN counters is 16 – 3 = 13 and probability of GREEN is
marks

The pressure at sea level is 101 325 Pascals.
Any rise of 1 km above sea level decreases the pressure by 14%

For example,
at 3 km above sea level the pressure is 14% less than at 2 km

Work out the pressure at 5 km above sea level.
Give your answer to 2 significant figures.

Pascals [4 marks] ?
101 325 x 0.865 = 47666.017 so to 2 significant places, answer is 48 000
marks

ABC is a triangle with AB = AC BA is parallel to CD.

Find angle x.

x = ° [3 marks] ?
Angle BPD is 70° as angles in triangle BPD add up to 180°. Angle ABC = angle BCA as triangle BAC is isosceles. Hence angle ABP = 70° – 20° = 50° and from angles in triangle ABP, angle BAP = 180° – (50° + 90°) = 40°. BA and CD are parallel so angle DCA = angle BAC, that is x = 40°
Test check
Total: - of marks